FORMULAE
FOR THE 21ST CENTURY [10.13.07]

WHAT
IS YOUR FORMULA? YOUR EQUATION?
YOUR ALGORITHM?
Alun
Anderson, Scott Atran, Mahzarin R. Banaji, Simon
Baron-Cohen, Samuel Barondes, Gregory Benford,
Susan Blackmore, Paul Bloom, Stewart Brand, John
Brockman, Rodney A. Brooks, Sean Carroll, George
Church, M.Csikszentmihalyi, Leda Cosmides, Paul
Davies, Richard Dawkins, David Deutsch, Keith Devlin,
Chris DiBona, Freeman Dyson, George Dyson, Drew
Endy, Brian Eno, Dan Everett, J. Doyne Farmer,
Richard Foreman, Howard Gardner, David Gelernter,
Steve Giddings, Daniel Gilbert, Marcelo Gleiser,
Alison Gopnik, Joshua Greene, John Gottman, Jonathan
Haidt, Judith Rich Harris, Marc D. Hauser, Donald
D. Hoffman, Gerald Holton, John Horgan, Nicholas Humphrey, Marcy
Kahan, Danny Kahneman, Dean Kamen, Kevin Kelly,
Rem Koolhaas, Bart Kosko, Kai Krause, Ray Kurzweil,
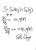
Lawrence M. Krauss, Janna Levin, Seth Lloyd, Benoit
Mandelbrot, Geoffrey Miller, Marvin Minsky, Oliver
Morton, David Myers, PZ Myers, Tor Nørretranders,
Mark Pagel, Irene Pepperberg, Steven Pinker, Jordan
Pollack, Ernst Pöppel, William Poundstone,
Eduardo Punset, Martin Rees, Lisa Randall, Matt
Ridley, Carlo Rovelli, Rudy Rucker, Doug Rushkoff,
Dimitar D. Sasselov, Gino Segre, Michael Shermer,
Neil Shubin, George Smoot, Dan Sperber, Maria Spiropulu,
Linda Stone, Leonard Susskind, Nassim Taleb, Timothy
Taylor, John Tooby, Max Tegmark, Craig Venter,
Alexander Vilenkin, Shing-Tung Yau, Anton Zeilinger

AN EDGE—SERPENTINE
GALLERY COLLABORATION
Introduction
I
recently paid a visit to the Serpentine Gallery in
Kensington Gardens, London to see Swiss curator Hans
Ulrich Obrist, a long-time friend with whom I have
a mutual connection: we both worked closely with the
late James Lee
Byars, the conceptual artist who, in 1971, implemented "The
World Question Center" as a work of conceptual
art.
The
walls of Obrist's office were covered with single
pages of size A4 paper on which artists, writers,
scientists had responded to his question: "What
Is Your Formula?" Among the pieces were formulas
by quantum physicist David Deutsch, artist and
musician Brian Eno, architect Rem Koolhaas, and
fractal mathematician Benoit Mandelbrot.
Within
minutes we had hatched an Edge-Serpentine
collaboration for a "World Question Center" project,
to debut on Edge during the annual Serpentine
Gallery Experiment Marathon, the weekend of October
13-14. The plan was to further the reach of Obrist's
question by asking for responses from the science-minded Edge community,
thus complementing the rich array of formulas already
assembled by the Serpentine from distinguished
artists such as Marina Abramovic, Matthew Barney,
Louise Bourgeois, Gilbert & George, and Rosemarie
Trockel.
Edge
Live in London
The
Serpentine Gallery Experiment Marathon
10:00 am to 1:30 pm, Sunday 14 October
In
addition to the online publication of "Formulae
for the 21st Century," Edge was invited
to program four hours of the
twenty-four hour Serpentine Gallery Experiment
Marathon. The event, which took place October 14th,
was held in The Serpentine Gallery Pavilion 2007,
commissioned by Serpentine Director Julia Peyton-Jones
and designed by Olafur Eliasson and Kjetil Thorson.

Serpentine
Gallery Pavilion 2007
© 2007 Olafur
Eliasson and Kjetil Thorsen

The
session session featured live presentations of "table-top" experiments
from zoologist Seirian Sumner (A Cooperative
Foraging Experiment
— Lessons From Ants), archeologist Timothy
Taylor (The Tradescant's Art Experiment),
physiologist Simon Baron-Cohen (Do Women Have
Better Empathy Than Men), biologist Amrand
Leroi (The Songs of Songs), geneticist
Steve Jones (Some Like It Hot), physicist Neil
Turok (What Banged? and The Morning
Line), biologist Lewis Wolpert (How Our
Limbs Are Patterned Like The French Flag),
and playwright Marcy Kahan in conversation with
psychologist Steven Pinker.
—JB

THE
TELEGRAPH
October 13, 2007
Science
and art meet in 'Experiment Marathon'
By Roger
Highfield, Science Editor
...Venter,
head of the J Craig Venter Institute in Rockville,
Maryland, examines the connection between the ratio
of the elements of carbon, nitrogen and phosphorus
with life, and how this links with the letters
of the genetic alphabet that nature used to spell
out genes.
Pinker of
Harvard University works out the potential number
of thoughts we can have and Prof Dawkins underlines
the power of Darwin's ideas about evolution. ... |

SUEDDEUTSCHE
ZEITUNG
September 3, 2007
FEUILLITON — Front Page
Short
Answers To Big Questions
Andrian
Kreye, Editor,
The Feuilleton
...The
experiment is not only represents a collaboration
by Brockman and Obrist’s of their
own work; it is also a continuation of
a movement that began in the '60s on America’s
East Coast. John Cage brought together
young artists and scientists for symposia
and seminars to see what what would happen
in the interaction of big thinkers from
different fields. The resulting dialogue,
which at the time seemed abstract and esoteric, can
today be regarded as the forerunner to
interdisciplinary science and the digital
culture.... |

E-FLUX
October 13, 2007
SERPENTINE
GALLERY
 |
Steven
Pinker and other leading scientists join
artists at the Serpentine Gallery for
a 24-hour Experiment Marathon featuring
robots, three-way kissing booths and
out-of-body experiences
13
- 14 October 2007 |
The
2006 Marathon was 'An inspiring experience'
- Time Out
Olafur
Eliasson together with Hans
Ulrich Obrist convenes the Serpentine
Gallery 24-Hour Experiment Marathon from 13
to 14 October which blurs the boundaries of
art and science and creates a laboratory of
experience. A huge variety of experiments exploring
perception, artificial intelligence, the body
and language, takes place in and around the
Serpentine Gallery Pavilion 2007 designed by
Olafur Eliasson and Kjetil Thorsen.
This
year's Pavilion has been conceived as a laboratory
for experimentation and invention with artists,
architects, academics and scientists being invited
to present hand-held or table-top experiments
throughout the weekend.
... |
[Click
On Images Below]
|